Previous Next

SLC6A4 promoter polymorphism and behaviour

Given the effects of drugs on the serotonin transporter, it seemed likely that there may be phenotypic effects of this polymorphism on behaviour:

Trait Anxiety Major (unipolar) Depression
Genotype N Neuroticism
Score (NEO)
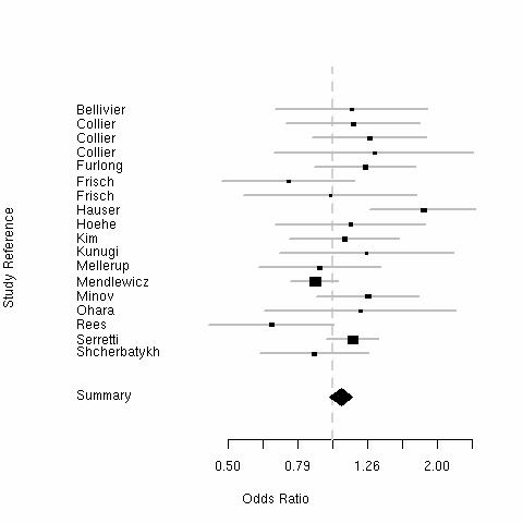
L/L 648 48.5 SERT indel and unipolar
S/L 113350.6
S/S 751 50.3

The "Short" allele weakly increases anxiety (0.2 SD) and risk of major depression.