Programs such as Merlin use maximum likelihood approaches to improve the estimation of ibd probabilities when genotypes at multiple linked markers are available. If the two markers in the family below were unlinked (c=0.50), then the mean ibd sharing for the siblings would be 0.25 at A and 0.0 at B.
Genotypes at two neighbouring marker loci
Marker A 1 1 1 2
Marker B a b c d
1 2
| |
+----+----+
|
+----+----+
| |
1 1 1 2
a c b d
3 4
If the markers are linked, then we can use the joint likelihood to improve the ibd estimation at the first, less informative, marker. Denoting the "1" alleles for person 1 as "p" and "m" to denote phase:
| Person 1 | Person 2 | Person 3 | Person 4 | Recombinants | Likelihood | ibd(A) | ibd(B) |
|---|---|---|---|---|---|---|---|
| pa/mb | 1c/2d | pa/1c | pb/2d | NR,NR,R,NR | c(1-c)3 | 0.5 | 0.0 |
| pa/mb | 1c/2d | pa/1c | mb/2d | NR,NR,NR,NR | (1-c)4 | 0.0 | 0.0 |
| pa/mb | 1c/2d | ma/1c | pb/2d | R,NR,R,NR | c2(1-c)2 | 0.0 | 0.0 |
| pa/mb | 1c/2d | ma/1c | mb/2d | R,NR,NR,NR | c(1-c)3 | 0.5 | 0.0 |
| pa/mb | 1d/2c | pa/1c | pb/2d | NR,R,R,R | c3(1-c) | 0.5 | 0.0 |
| pa/mb | 1d/2c | pa/1c | mb/2d | NR,R,NR,R | c2(1-c)2 | 0.0 | 0.0 |
| pa/mb | 1d/2c | ma/1c | pb/2d | R,R,R,R | c4 | 0.0 | 0.0 |
| pa/mb | 1d/2c | ma/1c | mb/2d | R,R,NR,R | c3(1-c) | 0.5 | 0.0 |
| ma/pb | 1c/2d | pa/1c | pb/2d | R,NR,NR,NR | c(1-c)3 | 0.5 | 0.0 |
| ma/pb | 1c/2d | pa/1c | mb/2d | R,NR, R,NR | c2(1-c)2 | 0.0 | 0.0 |
| ma/pb | 1c/2d | ma/1c | pb/2d | NR,NR,NR,NR | (1-c)4 | 0.0 | 0.0 |
| ma/pb | 1c/2d | ma/1c | mb/2d | NR,NR,R,NR | c(1-c)3 | 0.5 | 0.0 |
| ma/pb | 1d/2c | pa/1c | pb/2d | R,R,NR,R | c3(1-c) | 0.5 | 0.0 |
| ma/pb | 1d/2c | pa/1c | mb/2d | R,R,R,R | c4 | 0.0 | 0.0 |
| ma/pb | 1d/2c | ma/1c | pb/2d | NR,R,NR,R | c2(1-c)2 | 0.0 | 0.0 |
| ma/pb | 1d/2c | ma/1c | mb/2d | NR,R,R,R | c3(1-c) | 0.5 | 0.0 |
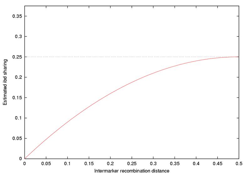
Therefore, the ibd sharing for marker B is 0.0, but that at marker A is now [c(1-c)3+c3(1-c)]/[1-2c(1-c)], where c is the distance between the markers. This estimate ranges from 0.0 to 0.25, as shown in the graph below.

For practical applications involving many markers, the likelihood can be factored out in terms of a Markov model incorporating the ibd at a marker, along with the transition probabilities from marker to marker.