The serotonin transporter gene (SLC6A4) promoter polymorphism

David Duffy (last updated 2005-Nov-03).

The serotonin transporter gene (SLC6A4) promoter polymorphism

There is a common VNTR polymorphism in the promoter of the serotonin transporter gene (often called 5-HTTLPR). SLC6A4-promoter/luciferase reporter construct is expressed at higher levels if the 42 bp insertion ("long") is present (16 repeat versus 14 repeat) [Heils et al 1994; Lesch et al 1996].
SERT promoter SERT promoter indel

SLC6A4 promoter polymorphism and behaviour

Given the effects of drugs on the serotonin transporter, it seemed likely that there may be phenotypic effects of this polymorphism on behaviour:

Trait Anxiety Major (unipolar) Depression
Genotype N Neuroticism
Score (NEO)
L/L 648 48.5 SERT indel and unipolar
S/L 113350.6
S/S 751 50.3

The "Short" allele weakly increases anxiety (0.2 SD) and risk of major depression.

SLC6A4 promoter polymorphism and behaviour 2

Bipolar DisorderViolent Suicide
SERT indel and bipolar SERT indel and suicide

The "Short" allele weakly increases risk of bipolar disorder and violent suicide.

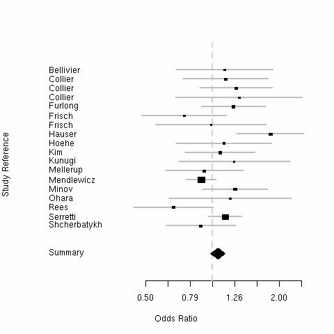
Meta-analysis data

Author Year Country Bipolar Unipolar Controls Diagnosis
S L S L S L
Bellivier 1998 France 190 218 40 50 82 116 DSM-IV
Collier 1996 Germany 39 39 41 53 243 359 DSM-IV
Collier 1996 England 191 189 82 80 155 193 DSM-IV
Collier 1996 Italy 66 84 22 22 82 108 DSM-IV
Furlong 1998 United Kingdom 76 98 116 134 139 199 DSM-IV.SADS-L
Frisch 1999 Israel Ashk NA NA 56 70 116 108 DSM-IV.SADS-L
Frisch 1999 Israel non-Ashk NA NA 58 62 38 40 DSM-IV.SADS-L
Gutierrez 1998 Spain 85 91 NA NA 105 119 DSM-III-R
Hauser 2003 Poland 135 129 102 86 168 258 DSM-IV.ICD-10
Hoehe 1998 France,Germany 70 88 32 40 234 328 DSM-IV.SADS-L
Kim 2000 Asia NA NA 183 57 377 127 NA
Kunugi 1997 Japan 228 52 81 17 328 86 DSM-IV
Mellerup 2001 NA NA NA 72 112 89 127 NA
Mendlewicz 2004 Europe 520 624 436 642 712 930 RCD.DSM-III.R.DSM-IV
Minov 2001 NA NA NA 159 185 98 144 NA
Ohara 1998 Japan 51 17 65 17 140 44 NA
Oliveira 2000 Brazil 49 79 NA NA 151 243 NA
Oruc 1997 NA 40 32 NA NA 29 35 NA
Ospina-Duque 2000 Columbia 101 105 NA NA 119 105 DSM-IV
Rees 1997 United Kingdom 139 197 57 103 107 129 DSM-IV
Serretti 2002 Italy 690 888 579 755 367 547 DSM-IV.OPCRIT
Shcherbatykh 2000 Russia 37 43 63 103 224 324 NA

Caspi et al [2003]

Caspi and coworkers reported a study of the SLC6A4 promoter insertion-deletion in the Dunedin Multidisciplinary Health and Development Study cohort.

They argued that the weakness of the association might hide larger effects in different environments, and cite animal models.

For instance, in rhesus monkeys, the short allele predicts low CSF serotonin metabolite levels (5-HIAA), but in deprived (peer-reared) and not in maternally reared monkeys [Bennett et al 2002]. A similar interaction is seen for ACTH response to stress [Barr et al 2004].

Genotyping in Caspi et al [2003]

Genotyped 847 Caucasians followed to age 26 (265:435:147):

Life Events in Caspi et al [2003]

Measured stressful life events from ages 21-26 (life-history calendar):

Childhood maltreatment in Caspi et al [2003]

Assessed childhood maltreatment

Depression in Caspi et al [2003]

Assessed depression in last 12 months (Diagnostic Interview Schedule)

Results from Caspi et al [2003]

Predicted values from fitted interaction models

SERT indel GxE

Results from Caspi et al [2003] 2

Marginal effects of promoter genotype
on risk of recent major depression

Genotype Odds Ratio
L/L (31%) 1
S/L (51%) 1.16 (0.88-1.53)
S/S (18%) 1.35 (0.78-2.33)

Moderation by promoter genotype of
association of depression with life events.

Genotype Odds Ratio (per life event)
L/L (31%) 1.13 (0.83-1.56)
S/L (51%) 1.47 (1.08-2.02)
S/S (18%) 1.68 (1.22-2.30)

Replications

Kaufman et al [2004]: Depression score in children taken into care (N=57) versus controls (N=44).
Kauffman et al
Grabe et al [2004]: Distress (BL-38 scale) versus chronic disease and promoter genotype in Pomeranian women (N=674).
Grabe et al
Manuck et al [2004]: Prolactin level following fenfluramine administration versus SES and SLC6A4 promoter genotype (N=139).
Manuck et al
Eley et al [2004]: Depression risk in adolescent females versus hardship and adverse life events and SLC6A4 promoter genotype (N=230).
Eley et al
Kendler et al [2005]: Depression risk in twins versus stressful life events and SLC6A4 promoter genotype (N=549).
Kendler et al
Sjoberg et al [2005]: Depressive symptoms in girls versus familial conflict and SLC6A4 promoter genotype (N=114).
Sjoberg et al

Non-replications

Surtees et al [2005]: Major depression (previous 12 months) versus number of stressful life events in previous 5 years (N=4175).
Surtees et al

Population genetics of SLC6A4 promoter polymorphism

The frequency of the "short" allele varies across populations.

Group N Proportion s
Asian 551 0.77
Askenazi Israelis 224 0.52
UK 461 0.43
European Americans 221 0.43
Italy 552 0.41
African Americans 1210 0.23

References

Ball D, Hill L, Freeman B, Eley TC, Strelau J, Riemann R, Spinath FM, Angleitner A, Plomin R. (1997). The serotonin transporter gene and peer-rated neuroticism. Neuroreport 8, 1301­1304.

Benjamin J, Osher Y, Kotler M, Gritsenko I, Nemanov L, Belmaker RH, Ebstein RP (2000). Association between tridimensional personality questionnaire (TPQ) traits and three functional poly- morphisms: dopamine receptor D4 (DRD4), serotonin transporter promoter region (5-HTTLPR) and catechol O-methyltransferase (COMT). Mol. Psychiatry 5, 96­100.

Bennett AJ, Lesch KP, Heils A, Long JC, Lorenz JG, Shoaf SE, Champoux M, Suomi SJ, Linnoila MV, Higley JD. (2002). Early experience and serotonin transporter gene variation interact to influence primate CNS function. Mol. Psychiatry 7, 118­122.

Caspi A, McClay J, Moffit TE, Mill J, Martin J, Craig IW, Taylor A, Poulton R (2002). Role of genotype in the cycle of violence in maltreated children. Science 297, 851­854.

Caspi A, Sugden K, Moffitt TE, Taylor A, Craig IW, Harrington H, McClay J, Mill J, Martin J, Braithwaite A, Poulton R (2003). Influence of life stress on depression: moderation by a polymorphism in the 5-HTT Gene. Science 301: 386-389.

Coccaro EF Siever LJ Klar HM Maurer G Cochrane K Cooper TB Mohs RC Davis KL (1989). Serotonergic studies in patients with affective and personality disorders. Arch. Gen. Psychiatry 46, 587­599.

Coccaro EF Klar H Siever LJ (1994) Reduced prolactin response to fenfluramine challenge in per- sonality disorder patients is not due to deficiency of pituitary lactotrophs. Biol. Psychiatry 36, 344­346. Cohen, J., 1988. In:, second ed. Statistical Power Analysis for the Behavioral Sciences. Lawrence Erlbaum Associates, Hillsdale, NJ.

Collier DA Stober G Li T Heils A Catalano M Di Bella D Arranz MJ Murray RM Valleda HP Bengel D Muller CR Roberts GW Smeraldi E Kirov G Sham P Lesch KP. (1996). A novel functional polymorphism within the promoter of the serotonin transporter gene: possible role in susceptibility to affective disorder. Mol. Psychiatry 1, 453­460.

Cook EH Courchesne R Lord C Cox NJ Yan S Lincoln A Haas R Courchesne E Leventhal BL, (1997). Evidence of linkage between the serotonin transporter and autistic disorder. Mol. Psychiatry 2, 247­250.

Deary IJ Battersby S Whiteman MC Connor JM Fowkes FGR Harmar A (1999) Neuroticism and polymorphisms in the serotonin transporter gene. Psychol. Med. 29, 735­739.

Di Bella D Catalano M Cavallini MC Riboldi C Bellodi L (2000) Serotonin transporter linked polymorphic region in anorexia nervosa and bulimia nervosa (Letter). Mol. Psychiatry 5, 233­241.

Ebstein RP Gritsenko I Nemanov L Frisch A Osher Y Belmaker RH (1997) No association between the serotonin transporter gene regulatory region polymorphism and the Tridimensional Per- sonality Questionnaire (TPQ) temperament of harm avoidance. Mol. Psychiatry 2, 224­226.

Esterling LE Toshikawa T Turner G Badner JA Bengel D Gerson ES Berrettini WH Detera-Wadleigh, S.D., (1998). Serotonin transporter (5-HTT) gene and bipolar affective disorder. Am. J. Med. Genet. 81, 37­40.

Flory JD Manuck SB Muldoon MF (2002) Retest reliability of prolactin response to dl-fenfluramine challenge in adults. Neuropsychopharmacology 26, 269­272

Battersby S, Ogilvie AD, Smith CAD, Blackwood DH, Muir WJ, Quinn J P, et al. (1996). Structure of a variable number tandem repeat of the serotonin transporter gene and association with affective disorder. Psychiatr Genet 6:177­181.

Battersby S, Ogilvie AD, Blackwood DHR, Shen S, Muqit M M K, Muir WJ, et al. (1999). Presence of multiple functional polyadenylation signals and a single nucleotide polymorphism in the 30 untranslated region of the human serotonin transporter gene. J Neurochem 72:1384­1388.

Bellivier F, Laplanche J L, Leboyer M, Feingold J, Bottos C, Allilaire J F, et al. (1997). Serotonin transporter gene and manic depressive illness: an association study. Biol Psychiatry 41:750­752.

Bellivier F, Henry C, Szoke A, Schurhoff F, Nosten-Bertrand M, Feingold J, et al. (1998). Serotonin transporter gene polymorphisms in patients with unipolar or bipolar depression. Neurosci Lett 255:143­146.

Bocchetta A, Piccardi MP, Palmas MA, Chillotti C, Oi A, Del Zompo M (1999). Family-based association study betwe en bipolar disorder and DR D2, DR D4, DAT, and SE RT in Sardinia. Am J Med Genet 88:522­526.

Collier DA, Stober G, Li T, Heils A, Catalano M, Di Bella D, et al. (1996). A novel functional polymorphism within the promoter of the serotonin transporter gene: possible role in susceptibility to affective disorders. Mol Psychiatry 1:453­460.

Cusin C, Serretti A, Lattuada E, Lilli R, Lorenzi C, Mandelli L, et al. (2001). Influence of 5-HT TLP R and TP H variants on illnes s time course in mood disorders. J Psychiatr Res 35:217­223.

Dimitrova A, Georgieva L, Nikolov I, Poriazova N, Krastev S, Toncheva D, et al. (2002). Major psychiatric disorders and the serotonin transporter gene (SLC6A4): family-based association studies. Psychiatr Genet 12:137­141.

Esterling LE, Yoshikawa T, Turner G, Badner JA, Bengel D, Gershon ES, et al. (1998). Serotonin transporter (5-HTT) gene and bipolar affective disorder. Am J Med Genet 81:37­40.

Fiskerstrand CE, Lovejoy EA, Quinn J P (1999). An intronic polymorphic domain often associated with susceptibility to affective disorders has allele dependent differential enhancer activity in embryonic stem cells. FE BS Lett 458:171­174.

Furlong RA, Ho L, Walsh C, Rubinsztein JW, Jain S, Paykel ES, et al. (1998). Analysis and meta-analysis of two serotonin transporter gene polymorphisms in bipolar and unipolar affective disorders. Am J Med Genet 81:58­63.

Gelernter J, Kranzler H, Cubells JF (1997). Serotonin transporter protein (SLC6A4) allele and haplotype frequencies and linkage disequilibria in African- and European-American and Japanese populations and in alcohol-dependent subjects. Hum Genet. 101: 243-246.

Gutierrez B, Arranz MJ, Collier DA, Valles V, Guillamat R, Bertranpetit J, et al. (1998). Serotonin transporter gene and risk for bipolar affective disorder: an association study in a Spanish population. Biol Psychiatry 43: 844­847.

Heils A, Mossner R, Lesch KP (1997). The human serotonin transporter gene polymorphism -- basic research and clinical implication. J Neural Transm 104:1005­1014.

Hoehe MR, Wendel B, Grunewald I, Chiaroni P, Levy N, Morris-Rosendahl D, et al. (1998). Serotonin transporter (5-HTT) gene polymorphisms are not associated with susceptibility to mood disorders. Am J Med Genet 81:1­3.

Ioannidis J P, Ntzani E E, Trikalinos TA, Contopoulos-Ioannidis DG (2001). Replication validity of genetic association studies. Nat Genet 29: 306­309.

Kendler KS, Kuhm JW, Vittum J, Prescott CA, Riley B (2005). The Interaction of Stressful Life Events and a Serotonin Transporter Polymorphism in the Prediction of Episodes of Major Depression Arch Gen Psychiatry 62:529-535

Kim DK, Lim S-W, Sohn SE, Kim S, Hahn CG, Carroll BJ (2000a). Serotonin transporter gene polymorphism and antidepressant response. Neuroreport 11:215­219.

Kirov G, Rees M, Jones I, MacCandless F, Owen MJ, Craddock N (1999). Bipolar disorder and the serotonin transporter gene: a family-based association study. Psychol Med 29:1249­1254.

Krontiris TG, Devlin B, Karp DD, Robert NJ, Risch N (1993). An association between the risk of cancer and mutations in the H RAS1 minisatellite locus. N Engl J Med 329:517­523.

Kunugi H, Tatsumi M, Sakai T, Hattori M, Nanko S (1996). Serotonin transporter gene polymorphism and affective disorder. Lancet 347: 13477.

Kunugi H, Hattori M, Kato T, Tatsumi M, Sakai T, Sasaki T, et al. (1997). Serotonin transporter gene polymorphisms: ethnic difference and possible association with bipolar affective disorder. Mol Psychiatry 2:457­462.

Lalovic A, Turecki G (2002). Meta-analysis of the association between tryptophan hydroxylase and suicidal behavior. Am J Med Genet 114: 533­540.

Lasky-Su JA, Faraone SV, Glatt SJ, Tsuang MT (2005). Meta-analysis of the association between two polymorphisms in the serotonin transporter gene and affective disorders. Am J Med Genet B Neuropsychiatr Genet 133: 110-115.

Lerer B, Segman R H, Fangerau H, Daly AK, Basile VS, Cavallaro R, et al. (2002). Pharmacogenetics of tardive dyskinesia: combined analysis of 780 patients supports association with dopami ne D3 receptor gene Ser9Gl y polymorph- ism. Neuropsychopharmacology 27:105­119.

Lesch KP (1998). Serotonin transporter and psychiatric disorders: listening to the gene. Neuroscientist 4:25­34.

Lesch KP, Mossner R (1998). Genetically driven variation in serotonin uptake: is there a link to affective spectrum, neurodevelopmental, and neurodegenera- tive disorders? Biol Psychiatry 44:1791­1792.

Lesch KP, Wolozin BL, Estler HC, Murphy DL, Riederer P (1993). Isolation of a cDNA encoding the human brain serotonin transporter. J Neural Transm 91:67­72.

Liu W, Gu N, Feng G, Li S, Bai S, Zhang J, et al. (1999). Tentative association of the serotonin transporter with schizophrenia and unipolar depression but not with bipolar disorder in Han Chinese. Pharmacogenetics 9:491­495.

Lotrich FE, Pollock BG, Ferrell RE (2001). Polymorphism of the serotonin transporter: implications for the use of selective serotonin reuptake inhibitors. Am J Pharmacogenomics 1 :153­164.

Lotrich FE, Pollock BG, Ferrell RE (2003). Serotonin transporter promoter polymorphism in African Americans : allele frequencies and implications for treatment. Am J Pharmacogenomics 3:145-7.

Maher BS, Marazita M L, Ferrell R E, Vanyukov M M (2002). Dopamine system genes and attention deficit hyperactivity disorder: a meta-analysis. Psychiatr Genet 12:207­215.

McGinnis R (2002). Treasure hunting in a new era: genotyping of single nucleotide polymorphisms and the search for complex disease genes by association scans. Psychiatr Genet 12:63­66.

Mellerup E, Bennike B, Bolwig T, Dam H, Hasholt L, Jorgensen M B, et al. (2001). Platelet serotonin transporters and the transporter gene in control subjects, unipolar patients and bipolar patients. Acta Psychiatr Scand 103 :229­233.

Mendes de Oliveira J R, Otto PA, Vallada H, Lauriano V, Elkis H, Lafer B, et al. (1998). Analysis of a novel functional polymorphism within the promoter region of the serotonin transporter gene (5-HTT) in Brazilian patients affected by bipolar disorder and schizophrenia. Am J Med Genet 81:225­227.

Menza MA, Palermo B, DiPaola R, Sage J I, Ricketts M H (1999). Depres- sion and anxiety in Parkinson's disease: possible effect of genetic varia- tion in the serotonin transporter. J Geriatric Psychiatr Neurol 12: 49­52.

Minov C, Baghai TC, Schule C, Zwanzger P, Schwarz MJ, Zill P, et al. (2001). Serotonin-2A-receptor and -transporter polymorphisms: lack of association in patients with major depression. Neurosci Lett 303:119­122.

Moreno FA, Rowe DC, Kaiser B, Chase D, Michaels T, Gelernter J, et al. (2002). Association between a serotonin transporter promoter region poly- morphism and mood response during tryptophan depletion. Mol Psychiatry 7 :213­216.

Mossner R, Henneberg A, Schmitt A, Syagailo YV, Grassle M, Hennig T, et al. (2001). Allelic variation of serotonin transporter expression is associated with depression in Parkinson's disease. Mol Psychiatry 6: 350­352 .

Mundo E, Walker M B, Tims H, Macciardi F, Kennedy J L (2000). Lack of linkage disequilibrium between serotonin transporter protein gene (SLC6A4) and bipolar disorder. Am J Med Genet 96:379­383.

Mynett-Johnson L, Kealey C, Claffey E, Curtis D, Bouchier-Hayes L, Powell C, et al. (2000). Multimarkerhaplotypes within the serotonin transporter gene suggest evidence of an association with bipolar disorder. Am J Med Genet 96:845­849.

Neumeister A, Konstantinidis A, Stastny J, Schwarz MJ, Vitouch O, Willeit M, et al. (2002) . Association between serotonin transporter gene promoter polymorphism(5-HTTLPR) and behavioral responses to tryptophan depletion in healthy women with and without family history of depression. Arch Gen Psychiatry 59:613­620.

Ohara K, Nagai M, Tsukamoto T, Tani K, Suzuki Y, Ohara K (1998). Functional polymorphism in the serotonin transporter promoter at the SLC6A4 locus and mood disorders. Biol Psychiatry 44:550­554.

Olgilvie AD, Battersby S, Bubb VJ, Fink G, Harmar AJ, Goodwim G M, et al. (1996). Polymorphism in serotonin transporter gene associated with susceptibility to major depression. Lancet 347:731­733.

Oruc L, Verheyen G R, Furac I, Jakovljevi M, Ivezi S, Raeymaekers P, et al. (1997). Association analysis of the 5-HT2C receptor and 5-HT transporter genes in bipolar disorder. Am J Med Genet 74:504­506.

Ospina-Duque J, Duque C, Carvajal-Carmona L, Ortiz-Barrientos D, Soto I, Pineda N, et al. (2000). An association study of bioplar mood disorder (type I) with the 5-HTTLPR serotonin transporter polymorphism in a human population isolate from Colombia. Neurosci Lett 292:199­202.

Piccardi M P, Ardau R, Chillotti C, Deleuze J F, Mallet J, Meloni R, et al. (2002). Manic-depressive illness: an association study with the inositol polypho- sphate 1-phosphatase and serotonin transporter genes. Psychiatr Genet 12:23­27.

Rausch J L, Johnson M E, Fei Y-J, Li JQ, Shendarkar N, Hobby HM, et al. (2002). Initial conditions of serotonin transporter kinetics and geno- type: influence on SSR I treatment trial outcome. Biol Psychiatry 51: 723­732.

Rees M, Norton N, Jones I, McCandless F, Scourfield J, Holmans P, et al. (1997). Association studies of bipolar disorder at the human serotonin transporter gene (hSE RT; 5-HTT). Mol Psychiatry 2:398­402.

Rosenthal N E, Mazzanti CM, Barnett R L, Hardin TA, Turner E H, Lam G K, Rosenthal N E, Mazzanti CM, Barnett R L, Hardin TA, Turner E H, Lam G K, et al. (1989). Role of serotonin transporter repeat length polymorphism (5-HTTPR) in seasonality and seasonal affective disorder. Mol Psychiatry 3:175­177.

Saleem Q, Ganesh S, Vijaykumar J, Reddy YC, Brahmachari SK, Jain S (2000). Association analysis of 5-HT transporter gene in bipolar disorder in the Indian population. Am J Med Genet 9:170­172.

Sanchez-Guerra M, Combarros O, Infante J, Llorca J, Berciano J, Fontalba A, et al. (2001). Case­control study and meta-analysis of low density lipoprotein receptor-related protein gene exon 3 polymorphism in Alzheimer's disease. Neurosci Lett 316:17­20.

Seretti A, Cusin C, Lattuada E, Di Bella D, Catalano M, Smeraldi E (1999). Seroton in transporter gene (5-HTTP R) is not associated with depressive symptomatology in mood disorders. Mol Psychiatry 4: 280­283 .

Seretti A, Cristina S, Lilli R, Cusin C, Lattuada E, Lorenzi C, et al. (2002). Family-based association study of 5-HTTLP R, TP H, MAO-A, and DR D4 polymorphisms in mood disorders. Am J Med Genet 114: 361­369.

Sjoberg RL, Nilsson KW, Nordquist N, Ohrvik J, Leppert J, Lindstrom L, Oreland L (2005). Development of depression: sex and the interaction between environment and a promoter polymorphism of the serotonin transporter gene. Development of depression: sex and the interaction between environment and a promoter polymorphism of the serotonin transporter gene. Int J Neuropsychopharmacol. 2005 Sep 15;:1-7.

Surtees PG, Wainwright NW, Willis-Owen SA, Luben R, Day NE, Flint J (2005). Social Adversity, the Serotonin Transporter (5-HTTLPR) Polymorphism and Major Depressive Disorder. Biol Psychiatry. 2005 Sep 8.

Weese-Mayer DE, Berry-Kravis EM, Maher BS, Silvestri JM, Curran ME, Marazita ML (2003). Sudden infant death syndrome: association with a promoter polymorphism of the serotonin transporter gene. Am J Med Genet A. 117: 268-274.